
对于数学课的教学,课堂、板书、演练,“面对面”,“手把手”,是一直以来的主导。疫情对每个人都是一场大考,这一切都需要及时改变,员工不在课堂,不在身边,看不见摸不着,这对于以往上课以讲授为主的刘爱兰老师,是一个不小的挑战,她不断学习调整,直面战“疫”。
一、多维提醒,一个员工都不能少
线上上课不同于线下,同学居家不在校,没有一起起床吃早饭去上课的氛围。她就在上课前一天利用QQ群提醒同学上课的时间段,课前需要完成的学习内容。在上课前15分钟提醒准备上课,试音和屏幕。上课过程中,不时提醒员工注意,对所学知识点做好笔记,对所学知识进行及时消化,有不懂的地方及时提出。课后提醒员工完成线上作业和书面作业,及时复习巩固所学知识。对学习不主动的、学习成效不高的员工,共享课中进行督促完成相关视频和知识的学习。课前课后的提醒几乎无时不在,甚至在周末也有。在她各种提醒下,员工上课迟到旷课现象基本杜绝。




图1-1前一天提醒 图1-2课前提醒 图1-3 课中提醒 图1-4 课后提醒
二、多样流程,一个环节也不落下
经过尝试,她采取了智慧树+QQ群的方式。由于需要在两个平台间切换,上课流程方面不断丰富。课前QQ群发布上课流程公告,发布头脑风暴复习上一节课的知识点。课中采用智慧树平台见面课发布上课流程的PPT,每一个节点每一个知识点都在QQ群聊书面提醒,课中智慧树线上作业巩固(这一模块经常放到线下完成),见面课+QQ群课堂随时答疑。课后QQ群布置书面作业。




图2-1 见面课流程PPT 图2-2 QQ群书面流程 图2-3 课前复习 图2-4 课后巩固
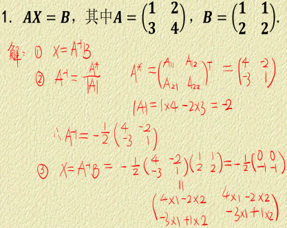
三、多方交流,一个问题都不放过
针对员工反映的课堂听讲PPT不容易接受,她采用PPT+手写板板书讲解,效果很好。课堂QQ群提问,课堂练习,不时抽查员工的听课笔记,员工分组学习辅导,课后作业逐人次批改并针对性给出评语,QQ群做出总体作业分析。智慧树课堂答疑、群聊、头脑风暴,QQ群留言、私聊等进行课堂课后多方位与员工沟通和交流。




图3-1PPT+手写板 图3-2课堂抽查笔记 图3-3课堂提问 图3-4课堂练习




图3-5 学习小组辅导 图3-6课后作业批改 图3-7个人作业评语 图3-8作业总体分析
经过不断学习、调整,她的员工居家学习兴趣浓厚,作业质量高。刘老师也期待与同学们见面!




图4-1课堂抽查的笔记 图4-2课后书面作业 图4-3职工作业 图4-4员工留言